H27年度2級管工事施工管理技士 過去問題と解説【学科試験】

平成27年度 2級管工事施工管理技士【学科試験】の問題と解答・解説をしたいと思います。
その他の年度の過去問PDFデータが欲しい方は、下記から取得して下さい。
もくじ
2級管工事施工管理技士 過去問【平成27年度】
2級管工事施工管理技士の学科試験問題は、下記の出題項目に基いて出題されます。
| 出 題 | 出 題 項 目 | 出 題 選 択 |
| No,1~6問 | 一般基礎、電気・建築 | 6問中6問解答(必須) |
| No,7~23問 | 空調、給排水衛生 | 17問中9問解答(選択) |
| No,24~28問 | 機器材料、設計図書 | 5問中5問解答(必須) |
| No,29~42問 | 施工管理 | 14問中12問解答(選択) |
| No,43~52問 | 関連法規 | 10問中8問解答(選択) |
No,01~06問 一般基礎、電気・建築
問題番号No,1からNo,6までの6問題は必須問題です。全問題を解答してください。
【No,1】水に関する記述のうち、適当でないものはどれか。
- 1気圧のもとで水が氷になると、その容積は約10%増加する。
- 1気圧のもとで水の温度を1℃上昇させるために必要な熱量は、約4.2kJ/㎏である。
- pHは、水素イオン濃度の大小を表す指標である。
- BODは、水中に含まれる浮遊物質の量を示す指標である。
解答・解説を表示する
解答(4)
解説:
【No,2】空気環境に関する記述のうち、適当でないものはどれか。
- 室内空気中の二酸化炭素の許容濃度は、一酸化炭素より高い。
- 二酸化炭素の密度は、空気より小さい。
- 臭気は、二酸化炭素と同じように室内空気の汚染を知る指標とされている。
- 浮遊粉じん量は、室内空気の汚染度を示す指標である。
解答・解説を表示する
解答(2)
解説:
【No,3】流体に関する記述のうち、適当でないものはどれか。
- レイノルズ数は、ウォーターハンマーの発生のしやすさの目安に用いられる。
- 流体の粘性による影響は、流体が接する壁面近くで顕著に現れる。
- ピトー管は、流速の測定に用いられる。
- 液体は、気体に比べて圧縮しにくい。
解答・解説を表示する
解答(1)
解説:
【No,4】熱に関する記述のうち、適当でないものはどれか。
- 気体の体積を一定に保って加熱すると、その圧力は高くなる。
- 熱放射による熱移動には媒体を必要としない。
- 0℃の氷を0℃の水に変化させるのに必要な熱は顕熱である。
- 単位質量の物体の温度を1℃上げるのに必要な熱量を比熱という。
解答・解説を表示する
解答(3)
解説:
【No,5】電気設備に関する用語の組合せのうち、関係のないものはどれか。
- アーステスター----接地抵抗測定
- 配線用遮断器-----過電流保護
- 漏電遮断器------感電防止
- 進相コンデンサ----欠相保護
解答・解説を表示する
解答(4)
解説:
【No,6】鉄筋コンクリートに関する記述のうち、適当でないものはどれか。
- 常温では、コンクリートの圧縮強度と引張強度は、ほぼ等しい。
- コンクリートは、アルカリ性であるので、鉄筋がさびにくい。
- あばら筋は、梁のせん断力に対する補強筋である。
- 水セメント比が小さいほど、コンクリートの圧縮強度が大きくなる。
解答・解説を表示する
解答(1)
解説:
No,07~23問 空調、給排水衛生
問題番号No,7からNo,23までの17問題のうちから9問題を選択し、解答してください。
【No,7】定風量単一ダクト方式に関する記述のうち、適当でないものはどれか。
- 送風量が多いため、室内の空気清浄度を保ちやすい。
- 各室ごとの温度制御が容易である
- 送風量を一定にして送風温度を変化させる。
- 同一系統に熱負荷特性の異なる室がある場合に適さない。
解答・解説を表示する
解答(2)
解説:
【No,8】暖房時の湿り空気線図のd点に対応する空気調和システム図上の位置として、適当なものはどれか。

- ①
- ②
- ③
- ④
解答・解説を表示する
解答(3)
解説:
【No,9】熱負荷に関する記述のうち、適当でないものはどれか
- 照明器具による熱負荷は、顕熱と潜熱がある。
- 熱通過率の値が大きいほど、熱をよく通す。
- 全熱負荷に対する顕熱負荷の割合を顕熱比(SHF)という。
- 窓ガラス面からの熱負荷を計算するときは、ブラインドの有無も考慮する。
解答・解説を表示する
解答(1)
解説:
【No,10】空気調和方式に関する記述のうち、適当でないものはどれか。
- マルチパッケージ形空気調和機方式は、一般に、暖房時の加湿対策が別に必要となる。
- ダクト併用ファンコイルユニット方式は、一般に、ファンコイルユニットでペリメーター(外皮)負荷を処理する。
- 変風量単一ダクト方式は、一般に、室内の負荷変動に対し、変風量(VAV)ユニットにより送風量を変化させる。
- 定風量単一ダクト方式は、ダクト併用ファンコイルユニット方式に比べて、一般に、送風量が少なくなる。
解答・解説を表示する
解答(4)
解説:
【No,11】パッケージ形空気調和機に関する記述のうち、適当でないものはどれか。
- マルチパッケージ形空気調和機は、1台の屋外機に対して複数の屋内機を接続し、室内の冷房や暖房を行うものである。
- パッケージ形空気調和機は、ユニット形空気調和機を用いた空気調和方式に比べて機械室面積やダクトスペースが広く必要となる。
- インバーター制御方式は、電動機の回転数をインバーターで変化させることにより、圧縮機の回転数を変化させ冷房や暖房の能力を制御するものである。
- ガスエンジンヒートポンプ式空気調和機は、屋外機内にある圧縮機をガスエンジンで駆動し、冷房や暖房を行うものである。
解答・解説を表示する
解答(2)
解説:
【No,12】冷暖房兼用形のルームエアコンに関する記述のうち、適当でないものはどれか。
- 外気温度が低いときに暖房運転を行うと、屋外機の熱交換器に霜が付着することがある。
- 冷房能力は、外気温度が高くなるほど小さくなる。
- 圧縮機には、全密閉形のロータリー形、スクロール形などが使用されている。
- 屋内機と屋外機間の冷媒管長には、制限はない。
解答・解説を表示する
解答(4)
解説:
【No,13】換気に関する記述のうち、適当でないものはどれか。
- 臭気や燃焼ガスなどの汚染源が異なる室の排気を、同一の換気系統とした。
- 排気送風機を、ダクト内を負圧に保つためダクト系の末端に設けた。
- 第2種機械換気方式は、給気側にだけ送風機を設けるため室内は正圧になる。
- 給気側と排気側にそれぞれ専用の送風機を設けると室内の圧力の制御が容易となる。
解答・解説を表示する
解答(1)
解説:
【No,14】図に示す開放式の燃焼器具を設けた室の換気扇の最小風量として、「建築基準法」上、適当なものはどれか。
ただし、K:燃料の単位燃焼量当たりの理論廃ガス量[m3/(kW・h)] / Q:器具の燃料消費量[kW]

- 2KQ[m3/h]
- 20KQ[m3/h]
- 30KQ[m3/h]
- 40KQ[m3/h]
解答・解説を表示する
解答(4)
解説:
【No,15】上水道施設に関する記述のうち、適当でないものはどれか。
- 取水施設は、河川、湖沼、地下の水源から水を取り入れ、粗いごみや砂を取り除く施設である。
- 導水施設は、取水施設から浄水施設まで原水を送る施設である。
- 浄水施設は、原水を水質基準に適合させるために、沈殿、ろ過、消毒等を行う施設である。
- 送水施設は、浄化した水を給水区域内の需要者に必要な圧力で必要な量を供給する施設である。
解答・解説を表示する
解答(4)
解説:
【No,16】地表面の勾配が急な敷地において、下水道管きょの勾配を適切に保持するための接合として、適当なものはどれか。
- 水面接合
- 段差接合
- 管頂接合
- 管底接合
解答・解説を表示する
解答(2)
解説:
【No,17】給水設備に関する記述のうち、適当でないものはどれか。
- 飲料用の給水タンクのオーバーフロー管には排水トラップを設け、防虫対策を行う。
- ウォーターハンマーを防止するには、給水管内の流速を小さくする。
- ホース接続水栓は、逆流汚染を防止するため、バキュームブレーカー付とする。
- 洗面器の吐水口空間とは、給水栓の吐水口端とその洗面器のあふれ縁との垂直距離をいう。
解答・解説を表示する
解答(1)
解説:
【No,18】給湯設備に関する記述のうち、適当でないものはどれか。
- 瞬間式湯沸器の能力は、それに接続する器具の必要給湯量を基準として算定する。
- 屋内に給湯する屋外設置のガス湯沸器は、先止め式である。
- 給湯配管で上向き式供給の場合、給湯管は先上がり、返湯管は先下がりとする。
- 中央式給湯用の循環ポンプは、一般に、貯湯タンクの出口側の給湯管に設ける。
解答・解説を表示する
解答(4)
解説:
【No,19】通気設備に関する記述のうち、適当でないものはどれか。
- 各個通気方式は、誘導サイホン作用及び自己サイホン作用の防止に有効である。
- ループ通気方式は、事務所ビルで一般に採用されている。
- 各個通気管は、器具のトラップの上流側より取り出す。
- 特殊継手排水システムによる伸頂通気方式は、ホテル、集合住宅などに多く採用されている。
解答・解説を表示する
解答(3)
解説:
【No,20】排水トラップに関する記述のうち、適当でないものはどれか
- トラップは、サイホン式と非サイホン式に大別される。
- ドラムトラップは、サイホン式トラップである。
- 阻集器にはトラップ機能をあわせ持つものが多いので、器具トラップを設けると、二重トラップになるおそれがある。
- トラップますは、臭気が逆流しない構造とする。
解答・解説を表示する
解答(2)
解説:
【No,21】屋内消火栓設備のポンプの仕様を決定する上で、関係のないものはどれか。
- 屋内消火栓の設置個数
- 配管の摩擦損失水頭
- 水源の容量
- ノズルの放水圧力換算水頭
解答・解説を表示する
解答(3)
解説:
【No,22】ガス設備に関する記述のうち、適当でないものはどれか。
- 「ガス事業法」では、ガスの供給圧力が0.1MPa未満を低圧としている。
- 液化石油ガス(LPG)のバルク供給方式は、一般に、工場や集合住宅などに用いられる。
- 液化石油ガス(LPG)は、比重が空気より小さいため空気中に漏洩すると拡散しやすい。
- 「ガス事業法」による特定ガス用品の基準に適合している器具には、PSマークが表示されている。
解答・解説を表示する
解答(3)
解説:
【No,23】工場生産浄化槽の施工に関する記述のうち、適当でないものはどれか。
- 槽本体の開口部からのかさ上げ高さを30cmとして、かさ上げ工事を行った。
- 掘削深さは、本体底部までの寸法に、基礎工事に要する寸法を加え決定する。
- 本体が2槽に分かれていたが、基礎コンクリートは一体として打設した。
- 漏水検査は、槽を満水にして、12時間以上漏水しないことを確認する。
解答・解説を表示する
解答(4)
解説:
No,24~28問 機器材料、設計図書
問題番号No,24からNo,28までの5問題は必須問題です。全問題を解答してください。
【No,24】建物内に設置する有効容量5m3 の飲料用給水タンクの構造に関する記述のうち、適当でないものはどれか。
- タンクの底部には、水抜きのための勾配をつけ、ピットを設ける。
- タンク内部の点検清掃を容易に行うために、直径45cm以上のマンホールを設ける。
- オーバーフロー管の排水口空間は、150mm以上とする。
- 衛生上有害なものが入らないようにするため、通気管に防虫網を設ける。
解答・解説を表示する
解答(2)
解説:
【No,25】ガス湯沸器に関する記述のうち、適当でないものはどれか。
- 密閉式湯沸器は、燃焼空気を直接屋内からとり、燃焼ガスは屋外へ排出する機器である。
- 開放式湯沸器は、燃焼空気を直接屋内からとり、燃焼ガスはそのまま屋内に排出する機器である。
- 元止め式湯沸器は、小形の瞬間湯沸器で、湯沸器本体の操作ボタンを操作して給湯する機器である。
- 先止め式湯沸器は、湯沸器からの給湯配管に設けた湯栓を開くことで主バーナーを点火する機器である。
解答・解説を表示する
解答(1)
解説:
【No,26】配管材料及び配管付属品に関する記述のうち、適当でないものはどれか。
- ストレーナーの形式には、Y形、U形などがある。
- 排水用硬質塩化ビニルライニング鋼管の接続には、ねじ込み式排水管継手が使用される。
- 水道用銅管には、管の肉厚によりMタイプとLタイプがある。
- 伸縮管継手は、流体の温度変化に伴う配管の伸縮を吸収するために設ける。
解答・解説を表示する
解答(2)
解説:
【No,27】ダクト及びダクト付属品に関する記述のうち、適当でないものはどれか。
- シーリングディフューザー形吹出口は、気流分布が優れた吹出口である。
- 温度ヒューズ形防火ダンパーは、ヒューズが溶融してダンパーが閉じるものである。
- ダクト断面の短辺に対する長辺の比(アスペクト比)は、なるべく大きくする。
- 定風量(CAV)ユニットは、あらかじめ設定された風量を保持するための装置である。
解答・解説を表示する
解答(3)
解説:
【No,28】設計図書に記載される機器とその仕様として記載する項目の組合せのうち、適当でないものはどれか。
---(機器)----------(記載する項目)
- 遠心ポンプ---------呼び番号
- 遠心送風機---------静圧
- ファンコイルユニット----形番
- 吸収冷温水機--------冷水出口温度
解答・解説を表示する
解答(1)
解説:
No,29~42問 施工管理
問題番号No,29からNo,42までの14問題のうちから12問題を選択し、解答してください。
【No,29】公共工事における施工計画に関する記述のうち、適当でないものはどれか。
- 現場の工事組織として、主任技術者は現場代理人が兼任することとして計画した。
- 標準仕様書と設計図面の内容に相違があったため、標準仕様書を優先させた。
- 仮設計画は、設計図書に特別の定めがない場合、原則として請負者の責任において定めてもよい。
- 施工計画書は、作業員に工事の詳細を徹底させるなどのために作成されるものであるが、監督員の承諾が必要である。
解答・解説を表示する
解答(2)
解説:
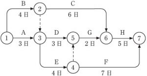
【No,30】図に示すネットワーク工程表において、クリティカルパスの本数と所要日数の組合せのうち、正しいものはどれか。

--(本数)-----(所要日数)
- 3本-------15日
- 2本-------15日
- 3本-------14日
- 2本-------14日
解答・解説を表示する
解答(1)
解説:
【No,31】工程表に関する記述のうち、適当でないものはどれか。
- ガントチャート工程表は、バーチャート工程表よりも必要な作業日数がわかりづらい。
- ネットワーク工程表は、作業間の関連が明確でないため、工事途中での工事内容の変更に対応しにくい。
- バーチャート工程表は、ネットワーク工程表に比べて作成が容易なため、比較的小さな工事に適している。
- バーチャート工程表上の各工事細目の予定出来高から、Sカーブと呼ばれる予定進度曲線が得られる。
解答・解説を表示する
解答(2)
解説:
【No,32】次の試験・検査のうち、抜取検査を行うものとして、適当でないものはどれか。
- コンクリート強度試験
- 配管の吊り間隔の確認
- 防火ダンパー用温度ヒューズの作動試験
- 埋設排水管の勾配確認
解答・解説を表示する
解答(4)
解説:
【No,33】建設工事現場の安全管理に関する記述のうち、適当でないものはどれか。
- ゴンドラ操作の業務につかせる者に、事前に、当該業務の安全に関する特別の教育を行った。
- 高さ1.2mの作業場所には、手掛かり棒を取り付けた可搬式作業台を用いて作業させた。
- 回転する刃物に労働者の手が巻き込まれるおそれのある作業だったため、手袋を使用して作業させた。
- 湧水ピット内での作業をする場合には、ピット内の酸素濃度が18%以上になるように換気設備を設けた。
解答・解説を表示する
解答(3)
解説:
【No,34】機器の据付けに関する記述のうち、適当でないものはどれか。
- 屋上に設置する冷却塔は、その補給水口が、高置タンクから必要な水頭圧を確保できる高さに据え付ける。
- 直だきの吸収冷温水機は、振動が大きいため、防振基礎の上に据え付ける。
- 呼び番号3の天井吊り送風機を、形鋼製のかご型架台上に据え付け、架台はアンカーボルトで上部スラブに固定した。
- 送風機のVベルトの張りは、電動機のスライドベース上の配置で調整した。
解答・解説を表示する
解答(2)
解説:
【No,35】機器の据付けに関する記述のうち、適当でないものはどれか。
- 貯湯タンクの断熱被覆外面から壁面までの距離は、保守点検スペースを確保するため、60cmとした。
- 建物内に設置する飲料用受水タンク上部と天井との距離は、100cmとした。
- 汚物排水槽に設ける排水用水中ポンプは、排水流入口の近くに据え付けた
- 洗面器を軽量鉄骨ボード壁に取り付ける場合は、アングル加工材をあらかじめ取り付けた後、バックハンガーを所定の位置に固定した。
解答・解説を表示する
解答(3)
解説:
【No,36】配管の施工に関する記述のうち、適当でないものはどれか。
- 配管用炭素鋼鋼管のねじ加工後、ねじ径をテーパねじ用リングゲージで確認した。
- 一般配管用ステンレス鋼鋼管の接合は、メカニカル接合とした。
- 水道用硬質塩化ビニルライニング鋼管の切断に、パイプカッターを使用した。
- 水道用硬質ポリ塩化ビニル管の接合は、接着(TS)接合とした。
解答・解説を表示する
解答(3)
解説:
【No,37】配管の施工に関する記述のうち、適当でないものはどれか。
- 排水立て管は、下層階に行くに従い、途中で合流する排水量に応じて管径を大きくする。
- ループ通気管は、最上流の器具排水管を接続した排水横枝管の下流直後から立ち上げる。
- 汚水槽の通気管は、単独で外気に開放する。
- 飲料用受水タンクのオーバーフロー排水は、間接排水とする。
解答・解説を表示する
解答(1)
解説:
【No,38】ダクト及びダクト付属品の施工に関する記述のうち、適当でないものはどれか。
- 長方形ダクトの板厚は、ダクトの周長により決定する。
- 長方形ダクトのエルボの内側半径は、ダクト幅の1/2以上とする。
- ダクトの断面を縮小するときは、30°以内の角度で縮小させる。
- 浴室等の多湿箇所の排気ダクトは、継手及び継目の外側からシールを施す。
解答・解説を表示する
解答(1)
解説:
【No,39】ダクト及びダクト付属品の施工に関する記述のうち、適当でないものはどれか。
- 消音エルボや消音チャンバーの消音材には、グラスウール保温材を用いる
- ダクトの割込み分岐の割込み比率は、風量の比率により決める。
- 亜鉛鉄板製スパイラルダクトは、一般に、補強は不要である。
- アングルフランジ工法ダクトは、長辺が大きくなるほど、接合用フランジ最大取付間隔を大きくすることができる。
解答・解説を表示する
解答(4)
解説:
【No,40】保温・保冷・塗装に関する記述のうち、適当でないものはどれか。
- 保温筒を用いた施工では、保温筒相互の間げきは少なくして重ね部の継目が同一線上になるように取り付ける。
- 冷水管の保温施工では、透湿防止の目的でポリエチレンフィルムを補助材として使用する。
- 鋼管のねじ接合後の余ねじ部には、切削油を拭き取ったうえで、防錆塗料を塗布する。
- 鋼管の亜鉛めっき面に塗装を行う場合は、エッチングプライマーを下地処理として使用する。
解答・解説を表示する
解答(1)
解説:
【No,41】多翼送風機の試運転調整に関する記述のうち、適当でないものはどれか。
- 手元スイッチで瞬時運転し、回転方向が正しいことを確認する。
- Vベルトの張り具合が、適当にたわんだ状態で運転していることを確認する。
- 軸受の注油状況や、手で回して、羽根と内部に異常がないことを確認する。
- 風量調整ダンパーが、全開となっていることを確認してから調整を開始する。
解答・解説を表示する
解答(4)
解説:
【No,42】JISに規定されている配管の識別表示について、物質の種類とその識別色の組合せのうち、誤っているものはどれか。
-(物質の種類)-----(識別色)
- 水---------青色
- 蒸気--------暗い赤色
- 油---------灰色
- ガス--------うすい黄色
解答・解説を表示する
解答(3)
解説:
No,43~52問 関連法規
問題番号No,43からNo,52までの10問題のうちから8問題を選択し、解答してください。
【No,43】次のうち、「労働安全衛生法」上、作業主任者の選任を必要としない作業はどれか。
- 石綿が0.5%含まれている保温材の除去作業
- つり上げ荷重が2トンの移動式クレーンの玉掛け作業
- 床下ピット内部での配管作業
- アセチレン溶接装置を用いて行う金属の溶接作業
解答・解説を表示する
解答(2)
解説:
【No,44】休憩時間に関する文中、 内に当てはまる語句の組合せとして、「労働基準法」上、正しいものはどれか。
使用者は、労働時間が A を超える場合においては少くとも B 、8時間を超える場合においては少くとも1時間の休憩時間を労働時間の途中に与えなければならない。
---(A)--------(B)
- 4時間--------30 分
- 4時間--------45 分
- 6時間--------30 分
- 6時間--------45 分
解答・解説を表示する
解答(4)
解説:
【No,45】建築の用語に関する記述のうち、「建築基準法」上、誤っているものはどれか。
- 工場は、特殊建築物である。
- 建築物に設ける避雷針は、建築設備である。
- 最下階の床は、主要構造部である。
- ガラスは、不燃材料である。
解答・解説を表示する
解答(3)
解説:
【No,46】次の空気環境項目のうち、建築物に設ける中央管理方式の空気調和設備において「建築基準法」上、空気調和設備の性能として定められていないものはどれか。
- 温度
- 気流
- 酸素の含有率
- 浮遊粉じんの量
解答・解説を表示する
解答(3)
解説:
【No,47】建設業法の用語に関する記述のうち、「建設業法」上、誤っているものはどれか
- 元請負人とは、建設工事(他の者から請け負ったものを除く。)の注文者をいう。
- 建設業者とは、建設業の許可を受けて建設業を営む者をいう。
- 下請契約とは、建設工事を他の者から請け負った建設業を営む者と他の建設業を営む者との間で当該建設工事について締結される請負契約をいう。
- 建設工事とは、土木建築に関する工事で、土木一式工事、建築一式工事、管工事等をいう。
解答・解説を表示する
解答(1)
解説:
【No,48】建設業の許可に関する文中、 内に当てはまる金額と用語の組合せとして、「建設業法」上、正しいものはどれか。
管工事業を営もうとする者は、工事1件の請負代金の額が A に満たない工事のみを請負おうとする場合を除き、建設業の許可を受けなければならない。また、建設業の許可は、2以上の都道府県の区域内に営業所を設けて営業をしようとする場合は、 B の許可を受けなければならない。
---(A)--------(B)
- 500万円-----当該都道府県知事
- 500万円-----国土交通大臣
- 1,000万円-----当該都道府県知事
- 1,000万円-----国土交通大臣
解答・解説を表示する
解答(2)
解説:
【No,49】次のうち、「消防法」上、非常電源を附置することが定められていないものはどれか。
- 水噴霧消火設備
- 屋内消火栓設備
- 泡消火設備
- 連結散水設備
解答・解説を表示する
解答(4)
解説:
【No,50】廃棄物の処理に関する記述のうち、「廃棄物の処理及び清掃に関する法律」上、誤っているものはどれか。
- 産業廃棄物管理票(マニフェスト)は、産業廃棄物の種類ごとに交付しなければならない。
- 事業活動に伴って生じた廃棄物は、事業者が自らの責任において処理しなければならない。
- 建設業に係る工作物の新築に伴って生じた建設残土は、一般廃棄物である。
- 建設業に係る工作物の除去に伴って生じた繊維くずは、産業廃棄物である。
解答・解説を表示する
解答(3)
解説:
【No,51】次の法律と測定項目の組合せのうち、その法律上に定められていないものはどれか。
--(法律)--------------------(測定項目)
- 浄化槽法--------------------生物化学的酸素要求量
- 水質汚濁防止法-----------------溶存酸素
- 大気汚染防止法-----------------硫黄酸化物
- 建築物における衛生的環境の確保に関する法律---二酸化炭素
解答・解説を表示する
解答(2)
解説:
【No,52】次の記述のうち、「騒音規制法」上、誤っているものはどれか。
- 特定建設作業とは、建設工事として行われる作業のうち、特定建設業者が行う作業をいう。
- 指定地域とは、特定工場等において発生する騒音及び特定建設作業に伴って発生する騒音について規制する地域として指定された地域をいう。
- 特定施設とは、工場又は事業場に設置される施設のうち、著しい騒音を発生する所定の施設をいう。
- 規制基準とは、特定工場等において発生する騒音の特定工場等の敷地の境界線における大きさの許容限度をいう。
解答・解説を表示する
解答(1)
解説:
…とここまでで平成27年度2級管工事施工管理技士【学科試験】の問題と解答・解説となります。
2級管工事施工管理技士の過去問のおススメ勉強法!
過去問のおススメの勉強方法は、同じような問題を続けて勉強する方法です。
まだ数問分しか記事としては完成しておりませんが、同種の問題を分析し過去問を掲載していますので参考にしてみて下さい。同種の問題を続けて勉強することで、理解度の深化が図れます。
年度毎に過去問を使うのは、理解度チェックする時がおススメです。







M-150x150.gif)